Manfred Börgens
Mathematische Probleme  # 71 
Liste aller Probleme mit Lösungen
voriges Problem      nächstes Problem
zur Leitseite


Teilmengen


M  sei eine nicht-leere Menge mit  n  Elementen. Aus allen nicht-leeren Teilmengen von  M  werden zufällig zwei ausgewählt (die auch gleich sein dürfen).

Formal :  |M| = n > 0 ; (A,B)  (P(M)\{Ø})2

a)  Mit welcher Wahrscheinlichkeit gilt  A  B ?

b)  Mit welcher Wahrscheinlichkeit gilt  A  B  oder  B  A ?

c)  Was ändert sich in a), b), wenn  A  B  bzw.  B  A  verlangt wird ?

d)  Mit welcher Wahrscheinlichkeit überdecken  A  und  B  die Menge  M  ( A  B = M ) ?

e)  Mit welcher Wahrscheinlichkeit überdecken  A  und  B  die Menge  M  disjunkt  ( A  B = M , A  B = Ø ) ?




Lösung



Zur Vereinfachung wollen wir jede Teilmenge  C  von  M  als Menge von  n-Tupeln  c  {0,1}n  darstellen. Ist  M = {m1, m2, ... , mn} , so ist  ci = 1  genau dann, wenn  mi  C .

Ist z.B.  n = 5 , so steht das Schema

A   1 1 0 1 1
B   0 1 0 0 1


für  A = {m1, m2, m4, m5}  und  B = {m2, m5} .

Ein solches Schema für zwei Teilmengen ist eine  (2×n)- Matrix. Da  A  und  B  nicht leer sein dürfen, gibt es  2n - 1  Möglichkeiten in jeder Zeile, somit  ( 2n - 1 )2  solcher Matrizen, also ebensoviele Auswahlen für  (A,B) .


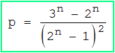
a)  Mit welcher Wahrscheinlichkeit gilt  A  B ?

A  B  gilt, wenn in jeder Spalte der Matrix der untere Eintrag größer oder gleich dem oberen ist. Pro Spalte gibt es dafür drei Möglichkeiten, also insgesamt  3n . Darin sind allerdings die Matrizen enthalten, die in der oberen Zeile nur Nullen haben, das sind  2n  Stück. Insgesamt gibt es also  3n - 2n  erlaubte Matrizen. Die gesuchte Wahrscheinlichkeit beträgt somit :

Loesung a)


b)  Mit welcher Wahrscheinlichkeit gilt  A  B  oder  B  A ?

Wir verdoppeln zuerst die in a) gefundenen Möglichkeiten und streichen diejenigen, für die  A = B  Ø  gilt (da diese doppelt gerechnet wurden); das ergibt  2·(3n - 2n) - (2n - 1)  erlaubte Matrizen. Die gesuchte Wahrscheinlichkeit beträgt somit :

Loesung b)


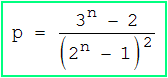
c)  Was ändert sich in a), b), wenn  A  B  bzw.  B  A  verlangt wird ?

Wir gehen wieder von den  3n  Matrizen aus a) aus. Da hier echte Teilmengen verlangt sind, werden zuerst die Matrizen mit  A = B  eliminiert, also  2n  Stück. Dann ist noch der Fall  A = Ø , B  Ø  auszuschließen, dem 2n - 1  Matrizen entsprechen. Die Wahrscheinlichkeit für  A  B  ist also :

Loesung c1)

Werden in b) echte Teilmengen verlangt, muss man das eben erhaltene Ergebnis lediglich verdoppeln. Die Wahrscheinlichkeit für  A  B  oder  B  A  ist also :

Loesung c2)


d)  Mit welcher Wahrscheinlichkeit überdecken  A  und  B  die Menge  M  ( A  B = M ) ?

Eine Überdeckung von  M  liegt vor, wenn in jeder Spalte der Matrix mindestens eine  1  steht. Das ergibt pro Spalte drei Möglichkeiten, also insgesamt  3n . Darin sind allerdings die beiden Matrizen enthalten, die in der oberen Zeile nur Nullen und in der unteren nur Einsen bzw. umgekehrt. Insgesamt gibt es also  3n - 2  erlaubte Matrizen. Die gesuchte Wahrscheinlichkeit beträgt somit :

Loesung d)


e)  Mit welcher Wahrscheinlichkeit überdecken  A  und  B  die Menge  M  disjunkt  ( A  B = M , A  B = Ø ) ?

Überdecken  A  und  B  die Menge  M  disjunkt, so folgt aus der Festlegung von  A  zwingend die komplementäre Teilmenge  B . Von den  2n  Möglichkeiten für  A  sind die beiden auszuschließen, die in einer Matrixzeile nur Nullen und in der anderen nur Einsen aufweisen, also  A = Ø  und  A = M . Die gesuchte Wahrscheinlichkeit ist daher :

Loesung e)


Beispiel  für  n = 6

Insgesamt gibt es  ( 26 - 1 )2 = 3969  mögliche Matrizen. Die folgenden Wahrscheinlichkeiten sind auch als Brüche angegeben, damit man die Anzahl der jeweils erlaubten Matrizen ablesen kann.

A  B   ⇒   p = 665/3969  0,1675

A  B  oder  B  A   ⇒   p = 1267/3969  0,3192

A  B   ⇒   p = 602/3969  0,1517

A  B  oder  B  A   ⇒   p = 1204/3969  0,3034

A  B = M   ⇒   p = 727/3969  0,1832

A  B = M , A  B = Ø   ⇒   p = 62/3969  0,0156


Für weitere Resultate siehe Blog # 41. Dort findet man auch die zugehörigen Folgen in OEIS.

d) entspricht Punkt 3. in Blog # 10 und Punkt 1. in Blog # 40, jeweils für  m = 2.

e) entspricht Punkt 1. in Blog # 10 und Punkt 5. in Blog # 40, jeweils für  m = 2.


Publiziert 2010-06-14          Stand 2009-11-09


voriges Problem   |   Liste aller Probleme mit Lösungen   |    nächstes Problem


Manfred Börgens   |    zur Leitseite