Manfred Börgens
Mathematische Probleme  # 68
Liste aller Probleme mit Lösungen
voriges Problem      nächstes Problem
zur Leitseite


Kleinste und größte Lottozahl


Bestimmen Sie für die kleinste und die größte Zahl bei einer Lottoziehung die Erwartungswerte und Varianzen.





Lösung




Die Lottourne möge  m  Kugeln enthalten, von denen  n  gezogen werden. Wir betrachten zuerst die größte gezogene Zahl und berechnen die Wahrscheinlichkeit, dass diese gleich  k  ist:

Verteilung für Lotto-Maximum

Begründung: Der Nenner ist die Anzahl möglicher Ziehungen. Für den Zähler gilt: Ist  k  das Maximum der gezogenen Zahlen, so gibt es für die restlichen  n - 1  (kleineren) gezogenen Zahlen noch  k - 1  mögliche Plätze.

Erwartungswert:

Erwartungswert für Lotto-Maximum

  Einschub:

      Diagonale im Pascal-Dreieck

Die Summanden auf der linken Seite bilden eine (abbrechende) Diagonale im Pascal'schen Dreieck. Berechnet man die Summe, so fällt auf, dass diese immer rechts unterhalb der Diagonale steht, wie im folgenden Beispiel für  n = 2  und  m = 6 :

              1
            1   1
          1   2   1
        1   3   3   1
      1   4   6   4   1
    1   5  10   10  5   1
  1   6  15   20  15  6   1
1   7  21   35  35  21  7   1


Man erhält so:

      Beispiel fuer Diagonale im Pascal-Dreieck

Die Vermutung, dass dies allgemein richtig ist, beweist man ohne Mühe induktiv über  m .
 

Mit dem Einschub erhält man:

Erwartungswert für Lotto-Maximum

Für die kleinste gezogene Zahl gilt analog:

Verteilung für Lotto-Minimum

Erwartungswert für Lotto-Minimum

durch Umsortierung  j = m - k .  -  Also ist:

Erwartungswert für Lotto-Minimum

Die hintere Summe ist gleich

Teilsumme

Hierbei wurde der Einschub verwendet; ebenso bei der folgenden Zusammenfassung:

Erwartungswert für Lotto-Minimum

Damit erhält man:

Erwartungswert für Lotto-Minimum

Dies hätte sich auch einfacher aus Symmetriegründen ergeben:  Emin = m + 1 - Emax


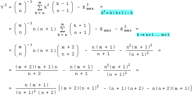
Die Varianz ist für die kleinste und die größte gezogene Zahl gleich und wird nur für die größte berechnet:

Varianz


Varianz und Standardabweichung




Publiziert 2009-09-24          Stand 2009-03-02


voriges Problem   |   Liste aller Probleme mit Lösungen   |    nächstes Problem


Manfred Börgens   |    zur Leitseite