Alternativer Beweis zum Problem des Monats Juli / August 2001

In einem Spiel, das keine Unentschieden zulässt, hat der schwächere Spieler umso bessere Gewinnchancen, je weniger Runden gespielt werden.

Die Anzahl der Spielrunden ist ungerade (da es immer einen Sieger geben soll), kann also mit  2n + 1  bezeichnet werden. Hat ein Spieler pro Runde die Gewinnwahrscheinlichkeit  p , so gewinnt er nach genau  n + 1  Runden mit Wahrscheinlichkeit  pn + 1 , nach  n + 2  Runden mit Wahrscheinlichkeit  (n + 1)·pn + 1·(1 - p)  usw., allgemein erfolgt ein

Gewinn nach  (n + 1) + i  Runden mit Wahrscheinlichkeit

Formel

Insgesamt beträgt also die Gewinnwahrscheinlichkeit in  2n + 1  Runden

Formel

wenn man zur Abkürzung  q = 1 - p  setzt.

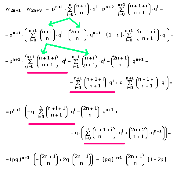
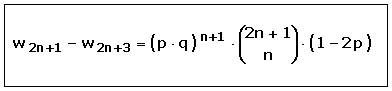
Um festzustellen, ob zwei Runden mehr (also  2n + 3) eine größere, gleiche oder kleinere Gewinnwahrscheinlichkeit erbringen, werden  w2n + 1  und  w2n + 3  verglichen. Es wird gezeigt:

Formel

Daraus liest man ab:

p < 1/2   -->   w2n + 1 > w2n + 3
p = 1/2   -->   w2n
 + 1 = w2n + 3
p > 1/2   -->   w2n
 + 1 < w2n + 3

Dies ist aber gerade die oben gemachte Behauptung, dass der schwächere Spieler umso bessere Gewinnchancen hat, je weniger Runden gespielt werden.

Die Formel im Kasten beweist man so:

Beweis





Manfred Börgens - Problem des Monats Juli/August 2001 - Alternativer Beweis - Stand 2005-05-26

zurück zum Monatsproblem          zur Leitseite