Manfred Börgens
Mathematik auf Briefmarken  # 5
Liste aller Briefmarken
vorige Marke      nächste Marke
zur Leitseite

Briefmarke des Monats Februar 2001

Briefmarke   Schweiz 1987

  Michel 1337
  Scott 805

  Graphik: Stephan Bundi, Bern



Diese Schweizer Briefmarke wurde zum 150-jährigen Bestehen des Schweizerischen Ingenieur- und Architektenvereins SIA herausgegeben und enthält eine interessante mathematische Konstruktion.

Die Briefmarke zeigt den Zusammenhang des Goldenen Schnitts mit der Logarithmischen Spirale.

Im Einzelnen ist auf der Marke zu sehen:

Die Konstruktion soll nun erläutert werden.

Aufteilung des Markenfelds in goldene Rechtecke
Bild 1

wie Bild 1, mit spiraligem Polygonzug
Bild 2

Folge von 7 Rechtecken und 6 Quadraten

In Bild 3 ist ein Rechteck dargestellt, dessen Proportionen dem Goldenen Schnitt entsprechen. Die Seitenlängen stehen im Verhältnis

tau = a/b = (a+b)/a = 1.618
("Goldene Zahl")

bzw.

sigma = b/a = 0.618 = tau-1

Goldenes Rechteck
Bild 3


Teilt man in einem Goldenen Rechteck ein Quadrat ab oder setzt ein Quadrat an die längere Rechteckseite an, so erhält man wieder Rechtecke nach dem Goldenen Schnitt (Bilder 4 und 5).

Quadrat, abgetrennt vom goldenen Rechteck
Bild 4

Quadrat, angesetzt an goldenes Rechteck
Bild 5

Diese Konstruktion von immer größeren Rechtecken durch Ansetzen von Quadraten beginnt auf der Briefmarke mit dem kleinen Rechteck, das den Koordinatenursprung enthält. Durch sechsmaliges Ansetzen von Quadraten im Gegenuhrzeigersinn erhält man die sieben Rechtecke mit dem Seitenverhältnis des Goldenen Schnitts (Bild 1). Der Graphiker hat allerdings beim rechten großen Quadrat mit den Seitenlängen etwas geschummelt.

Graphik
Bild 6

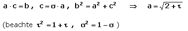
Wie liegen die Rechtecke und Quadrate zu den Koordinatenachsen und Diagonalen? Diese Frage kann vollständig mit der Konstruktion eines einzigen Rechtecks und des angrenzenden Quadrates beantwortet werden, z.B. indem man mit dem kleinsten Rechteck beginnt. Man legt ein Rechteck mit den Proportionen des Goldenen Schnitts mit drei Ecken  A, B, C  auf die Koordinatenachsen (blau in Bild 6). Es sollen nun die Abstände von  A, B, C  vom Koordinatenursprung  O  und die Lage von  D  berechnet werden. Da die Graphik auf der Briefmarke keinen Maßstab aufweist, kann eine Strecke beliebig vorgegeben werden; dies ist in Bild 6 die Höhe ( = 1 ) des Dreiecks  ABC ; wenn hier eine andere Höhe gesetzt wird, muss man nur alle in der folgenden Konstruktion vorkommenden Längen mit dieser Höhe multiplizieren.

a  berechnet man aus

a=Wurzel(2+tau)

Mit  a  berechnet man  b  und  c :

c=Wurzel(2-sigma), b=Wurzel(5)

Mit  a  und  c  ergibt sich:

OA=sigma, OC=tau

Das grün eingezeichnete Dreieck hat die gleichen Maße wie  OAB , also hat  D  jeweils den Abstand  1  von den Achsen und

OD=Wurzel(2)

Wir erhalten also für  A, B, C, D  die folgenden Abstände von  O  (im Gegenuhrzeigersinn):

sigma, 1, tau (auf den Achsen), Wurzel(2) (auf der Diagonalen)

Ansetzen eines Quadrats  ADEF :

Aus der Lage von  A  und  D  folgt, dass  E  auf der Koordinatenachse zwischen  A  und  D  liegt und dass gilt:

OE=tau hoch 2, OF=Wurzel(2) mal tau

Das Rechteck  BCEF  genügt auch dem Goldenen Schnitt; es wiederholen sich alle Überlegungen zu  ABCD , denn es liegen wieder drei Ecken auf den Achsen. Die Höhe des Dreiecks  BCE  ist die Goldene Zahl, also sind alle oben berechneten Längen damit zu multiplizieren.

Dieses Verfahren lässt sich iterieren. Ausgehend vom innersten Rechteck erhält man durch sukzessives Ansetzen von Quadraten weitere Rechtecke nach dem Goldenen Schnitt. Es wurde gezeigt, dass dann jeweils drei Ecken auf den Achsen liegen, die vierte auf einer Diagonalen. Die Abstände dieser Ecken von  O  sind beim  (n+1)-ten Rechteck im Gegenuhrzeigersinn:

sigma mal tau^n; tau^n, tau mal tau^n, Wurzel(2) mal tau^n

Bei jedem Schritt wandert die Lage dieser Ecken um 90° im Gegenuhrzeigersinn weiter.


Logarithmische Spirale

Logarithmische Spiralen haben die Parametergleichung

r^=d mal e^(p mal phi)

d > 0 , p > 0 , siehe Bild 7).

Skizze zur Parametergleichung
Bild 7

In der Graphik der Briefmarke erhält man alle Berührpunkte der Spirale mit den Rechtecken bzw. Quadraten, wenn man diejenigen Ecken der Rechtecke auswählt, die auf den Winkelhalbierenden liegen. Die Folge der zugehörigen Abstände von  O  ist

Wurzel(2) mal tau^n

und die Berührpunkte wandern im Gegenuhrzeigersinn jeweils um 90°. Sie liegen somit auf einer Logarithmischen Spirale, und wir können den Parameter  p  berechnen:

p=0.30635

Setzt man für den Anfang der Spirale auf der Marke

phi=-135 Grad

so kann man auch  d  berechnen, denn für diesen Winkel ist

d=2.91

Damit ist geklärt, wie der Goldene Schnitt mit einer Logarithmischen Spirale zusammenhängt und wie die Konstruktion auf der Briefmarke durchgeführt wurde.

Wissen wir nun, dass die Kurve auf der Briefmarke eine Logarithmische Spirale ist? Leider nein, denn es wurde nur nachgewiesen, dass die oben mit Hilfe des Goldenen Schnitts konstruierten Berührpunkte auf einer Logarithmischen Spirale liegen. Ist die vom Graphiker gezeichnete Kurve diese Logarithmische Spirale?

In der philatelistischen Fachliteratur findet man unterschiedliche Angaben. Wichtig ist natürlich die Intention der Urheber. Die Schweizerische Postverwaltung geht in [2] davon aus, dass der Graphiker eine Logarithmische Spirale gezeichnet hat. Dies ist nach dem oben dargestellten mathematischen Hintergrund auch plausibel. Es ist auch anzunehmen, dass der Graphiker sich in der mathematischen Fachliteratur kundig gemacht hat, z.B. in [1]. Auch M. Tanoff [4] und R. Wilson [6] bezeichnen die Spirale als logarithmisch. R. Vandevoorde [5] dagegen hat genau hingeschaut und meint, dass der Graphiker es sich leicht gemacht hat und die Berührpunkte durch Viertelkreise verbunden hat. Ich denke, Vandevoorde hat Recht, wenn man vom rechten, größten Quadrat absieht, dessen Maße - wie erwähnt - nicht stimmen.

Wie stark unterscheiden sich diese Viertelkreise von der Logarithmischen Spirale? M. Tanoff hat eine Reihe von Beiträgen zu der Briefmarke verfasst (u.a. [3], [4]) und meint, dass die Abweichung der Viertelkreise von der Logarithmischen Spirale im Rahmen der künstlerischen Freiheit liegt. Sie ist immerhin so stark, dass man den Unterschied auch auf der kleinen Briefmarke erkennen könnte. Die Logarithmische Spirale würde übrigens gar nicht vollständig innerhalb der Quadrate verlaufen, denn ihre Tangente in einem Berührpunkt ist keineswegs die Rechteckseite. Vielmehr verläuft sie etwa zwischen  D  und  E  in Bild 6 zunächst ein kleines Stück außerhalb des Rechtecks und schneidet dann  DE , siehe [5]. Dieser Effekt wäre allerdings auf der Marke wohl nur beim größten Quadrat erkennbar, wenn die Spirale richtig gezeichnet worden wäre.


Spiraliger Polygonzug

Zieht man durch die oben beschriebenen Quadrate Diagonalen wie in Bild 2, so erhält man einen Polygonzug, der eine Folge von "Sehnen" für die Logarithmische Spirale bildet; diese Sehnen verlaufen jeweils zwischen den Berührpunkten der Spirale mit den Rechtecken. Da die Quadrate in den Knickpunkten des Polygonzugs aneinander stoßen, sind alle Winkel im Polygonzug 90°. Da die Seitenlängen der Quadrate eine geometrische Folge mit dem Faktor der Goldenen Zahl bilden, gilt dies auch für die Längen der Diagonalen, also für den Polygonzug.


Historische Anmerkung

Der Goldene Schnitt (Marke # 72) heißt auch "Göttliches Verhältnis" oder "Göttliche Proportion". Fra Luca Pacioli (ca. 1445 - 1517) hat 1509 dazu das Buch De Divina Proportione veröffentlicht. Die Goldene Zahl taucht in zahlreichen mathematischen Anwendungen auf, so z.B. als Verhältnis Diagonale/Seite im gleichseitigen Fünfeck oder als Grenzwert der Quotienten aufeinanderfolgender Fibonacci-Zahlen.


Literatur

[1]   M. Gardner
The 2nd Scientific American Book of Mathematical Puzzles & Diversions
New York 1961

[2]   PTT (Schweizerische Postgesellschaft Post, Telegraf und Telefon bis 1997), Wertzeichenverkaufsstelle
Sonderpostmarken I
PTT 108.06 No. 63 XI86 (1986), S. 4

[3]   M. Tanoff
Comment on the Swiss Engineers' and Architects' Stamp
Philamath 14/1 (1992), S. 7 (zu beziehen über MSU)

[4]   M. Tanoff
Math Class
Philamath 14/4 (1993), S. 5-8 (zu beziehen über MSU)

[5]   R. Vandevoorde
Comment on the Swiss Engineers' and Architects' Stamp
Philamath 11/4 (1990), S. 4-5 (zu beziehen über MSU)

[6]   R. Wilson
Stamp Corner
Mathematical Intelligencer 16/4 (1994), S. 78



Kategorie: Goldener Schnitt, Goldene Zahl, Fibonacci-Folge


Stand 2003-02-05
vorige Marke   |    Liste aller Briefmarken   |    nächste Marke   |          Mathematische Philatelie
Manfred Börgens   |    zur Leitseite