Manfred Börgens
Mathematik auf Briefmarken  # 102
Liste aller Briefmarken
vorige Marke      nächste Marke
zur Leitseite


Marken Caratheodory und Thales

Griechenland 1994   Michel 1849/48 C   Scott 1785/84a


Constantin Carathéodory (1873 - 1950)  und  Thales von Milet (vermutlich ca. 624 - ca. 546 v. Chr.)

Eine schöne Idee der griechischen Post: Ein Markenpaar mit zwei bedeutenden griechischen Mathematikern, die im Abstand von 2500 Jahren gelebt haben.

In der langen Reihe berühmter griechischer Philosophen und Mathematiker gehört Thales von Milet zu den frühesten, von denen wir Kenntnis haben. Diese Kenntnis ist allerdings sehr beschränkt. Es sind keine Schriften oder Bildnisse von Thales überliefert. Sein Portrait auf der Briefmarke ist ein Phantasieprodukt. Alle Erkenntnisse oder Leistungen, die ihm zugeschrieben werden, sind nicht vollständig historisch gesichert. Aber er wurde von den Griechen der Antike jahrhundertelang in großen Ehren gehalten; er galt als Stammvater der griechischen Philosophenschule und als Begründer der Mathematik als Wissenschaft. Man zählte ihn zu den Sieben Weisen der Antike. Seine mathematische Ausbildung hat er wahrscheinlich in Ägypten erhalten  -  dort wird er aber wohl eher mit der anwendungsnahen Mathematik der Ingenieure vertraut geworden sein; seine spätere Beschäftigung mit den Grundlagen der Geometrie mag darauf aufgebaut haben.

Auf der Briefmarke wird ein physikalisches Phänomen abgebildet, das schon zu Thales' Zeiten und möglicherweise zuerst von ihm selbst beschrieben wurde: Die elektrische Anziehung durch Bernstein. Geriebener Bernstein zieht leichte Gegenstände an, wie z.B. Vogelfedern. Bernstein gelangte schon im Altertum auf Handelsstraßen von der Ostsee quer durch Mitteleuropa in den Mittelmeerraum und war ein begehrtes und wertvolles edles Material. Das elektrostatische Aufladen von Bernstein wurde auch für frühe Versuche zur Elektrizität benutzt, die daher ihren Namen erhielt: Elektron ist das griechische Wort für Bernstein.

Es wird nicht bezweifelt, dass Thales seinen großen Ruf als Gelehrter u.a. seinen Forschungen zur Geometrie verdankt. Welche Erkenntnisse ihm konkret zuzuschreiben sind, ist allerdings umstritten. Das gilt auch für den berühmtesten Satz, der bis heute mit seinem Namen verbunden wird:

Satz des Thales :  Jeder Winkel im Halbkreis ist ein rechter.
                                                                      Satz des Thales



Constantin Carathéodory (exakte Umschrift aus dem Griechischen: Konstantinos Karatheodori, das Sigma am Namensende auf der Briefmarke ist weniger gebräuchlich) war ein griechischer Mathematiker, der überwiegend an deutschen Universitäten gearbeitet hat. Er begann sein Mathematikstudium in Berlin erst mit 27 Jahren, nachdem er vorher als Ingenieur gearbeitet hatte. Zwei Jahre später wechselte er nach Göttingen, wo er promovierte und sich habilitierte. Er wechselte danach häufig die Universitäten (Bonn, Hannover, Breslau, wieder Göttingen, wieder Berlin, Athen und Smyrna, München).

Constantin Carathéodory war ein vielseitiger und produktiver Mathematiker. Seine Arbeiten behandelten u.a. Probleme aus den Gebieten Variationsrechnung, Funktionentheorie, Thermodynamik, partielle Differentialgleichungen, Maßtheorie und Relativitätstheorie.

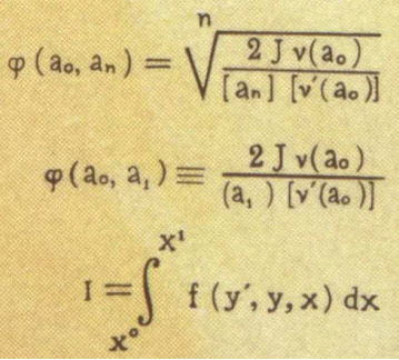
Auf der Briefmarke sind drei Formeln abgebildet. Die untere stellt das Grundintegral der Variationsrechnung dar.

Formeln

Die mittlere Formel stammt aus dem Satz von Landau und Carathéodory aus der Funktionentheorie.  φ(a0,a1) ist obere Schranke für den Konvergenzradius bestimmter komplexer Potenzreihen mit den Anfangskoeffizienten  a0  und  a1 ;  J  steht für den Imaginärteil und  ν  für die inverse Modulfuktion.  -  Die obere Formel für beliebige Koeffizienten  an  zeigt, dass die mittlere Formel der Spezialfall  n = 1  der oberen allgemeineren Aussage ist.

Literatur:
E. Landau: Über den Picardschen Satz, Vierteljahresschrift der Naturf. Ges. Zürich 51 (1906), S. 252-318
C. Carathéodory: Über eine Verallgemeinerung der Picardschen Sätze, Berl. Sitzber. 1920, S. 202-209


Publiziert 2018-01-29          Stand 2017-05-23


vorige Marke   |   Liste aller Briefmarken   |    nächste Marke   |          Mathematische Philatelie
Manfred Börgens   |   zur Leitseite